Metal bir çubuk şekildeki gibi bir ucundan ısıtıldığında, ısı diğer uca doğru iletim yoluyla aktarılır. Isıtılan uç diğer uçtan daima daha sıcaktır.
Isının iletilmesi ortama göre değişir. Isı maddelerde farklı şekillerde yayılabilir. Katı ve sıvılarda ısının iletimi aynı şekilde olmaz. Bazı maddelerin diğerlerine göre ısıyı daha iyi ilettiğini biliriz. Örneğin yemek yaparken metal kaşık yerine tahta kaşık kullanmayı tercih ederiz.
Evlerimizde bazı zeminler tahta iken bazı zeminler mermer ya da fayans olabilir. Ayağımızın birini tahta zemine diğerini fayans
zemine bastığımızda fayans olan zeminin daha soğuk olduğunu hissederiz. Aslında iki zemin de aynı sıcaklıktadır. Ancak fayans tahtadan daha iyi ısı iletkenidir. Fayansa basan ayağımızdan daha hızlı ve daha fazla ısı enerjisi fayansa geçer ve bu nedenle bu zemini daha soğuk hissederiz.
Annelerimizden “betona oturma, çeker” ikazını duymuşuzdur. Betonun iyi bir ısı iletkeni olması, oturulduğunda vücuttan fazla miktarda ısı almasına ve ısı kaybeden vücudun hastalanmasına neden olabilir.
Enerji Aktarım Hızı
Metal bir kaşığı kaynamakta olan çorbanın içinde beklettiğimizde bir süre sonra elimizde sıcaklık hissederiz. Bu, ısının en bilinen yayılma yolu olan iletim yoluyla yayılmasının bir sonucu olduğunu biliyoruz. Sıcak çorbanın ısı enerjisi kaşık boyunca iletilerek elimize ulaşır ve bu şekilde iletilen ısı enerjisini sıcaklık olarak hissederiz.
Isının iletim yoluyla cisim boyunca nasıl iletildiğini ve aktarılan ısı miktarının nelere bağlı olduğunu daha yakından inceleyelim:
Cismin ucu daha sıcak olan ortama yerleştirildiğinde sıcak ortam cismin moleküllerinin daha büyük genlikle titreşmesine neden olur. Uç kısımlardaki tanecikler daha büyük genlikle titreşirken yakınlarındaki diğer tanecikleri etkiyerek onların da daha büyük genliklerle titreşmesine neden olurlar.
Bu olay domino taşlarının birbirini devirmesi gibi cismin bir ucundan diğer bölgelere doğru yayılır ve ısı bu şekilde cisim boyunca yayılmış olur.
Isının bir cisim boyunca yayılması boyutları özdeş olan ancak farklı mad-delerden yapılmış cisimler ile denediğinde aynı sonuç elde edilmez. Örneğin metal çubuk ısıyı çok çabuk iletirken ağaç çubuk ya da sert plastik çubuk ısıyı metaller kadar iyi iletmez. Bu nedenle tencere ya da çaydanlık sapları sert plastik malzemeden yapılır. Isı iletim hızı maddelerin cinsine bağlıdır. Isıyı iyi ileten maddeler ısı iletkeni, ısıyı iyi iletmeyen maddeler ısı yalıtkanı olarak adlandırılabilir. Isı yalıtkanı maddeler zayıf da olsa ısıyı iletir.
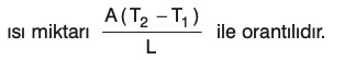
İletim yoluyla aktarılan ısı enerjisi ne kadar olduğunu ve nelere bağlı olduğunu inceleyelim. Kesit alanı A boyu L olan bir çubuğun bir ucu sıcaklığı T1 olan ortama diğer ucu sıcaklığı T2 olan bir ortama yerleştirilmiş olsun. T1 ve T2 sıcaklıkları farklı olduğunda çubuk üzerinde ısı iletimi gerçekleşir. T1 < T2 olduğu kabul edilirse çubuğun kesit alanından birim zamanda geçen

Yapılan deney ve gözlemler sonucunda çubuk üzerinde iletilen ısı miktarı Q;
* Çubuğun kesit alanı A ile doğru orantılıdır.
* Sıcaklık farkı DT = T2 – T1 ile doğru orantılıdır.
* Geçen zaman t ile doğru orantılıdır.
* Çubuğun boyu L ile ters orantılıdır.
![]() |
![]() |

Isı İletim Türleri
2019-12-28 Admin Admin
Taglar: İletimYoluylaIsınınAktarılması
| Isı - Sıcaklık ve Genleşme - İlginizi çekebilecek başlıklar |
|---|
|
Basınç, Sıcaklık ve Hâl Değişimi Arasındaki İlişki
Bir madde belirli sıcaklık ve basınç değerlerinde aynı ortamda hem sıvı hem katı hâlde bulunabilir. Bununla birlikte bir madde belirli sıcaklık ve basınç değerlerinde aynı ortamda hem sıvı hem gaz hâlde de bulunabilir. |
|
Gazlarda Genleşme
Isıtılan gazlar genleşir. Gaz moleküllerinin kinetik enerjileri artar. Bu da gaz moleküllerinin arasındaki uzaklığın artmasına neden olur. |
|
Genleşme ve Büzülme
Isıtılan bütün maddelerin boylarında uzama, yüzeylerinde genişleme ve hacimlerinde artma olur. Günlük hayatımızda değişik yerlerde, örneğin elektrik tellerinin kışın gergin yazın sarkık olması, tren rayları döşenirken bir miktar bo |
|
Fizikte İç Enerji
Bir maddenin taneciklerinin sahip olduğu tüm enerjilerinin toplamına iç enerji denir. İç enerjiye madde taneciklerinin öteleme, dönme ve titreşimden kaynaklanan kinetik enerji, moleküllerdeki potansiyel enerji ile moleküllerin birbiriyle etkile |
|
Fizikte Isı Enerjisi
Sıcaklıkları farklı olan maddeler arasında alınıp verilen, diğer bir ifadeyle transfer edilen enerjiye ısı enerjisi denir. Isının bir maddeden diğerine aktarımına ısı alışverişi denir. |
|
Fizikte Isı Sığası
Bir maddenin kütlesi ile özgül ısısının çarpımına (m * c) ısı sığası denir. Isı sığası madde miktarına bağlı olup ayırt edici özellik değildir. |







Sayfa Yorumları